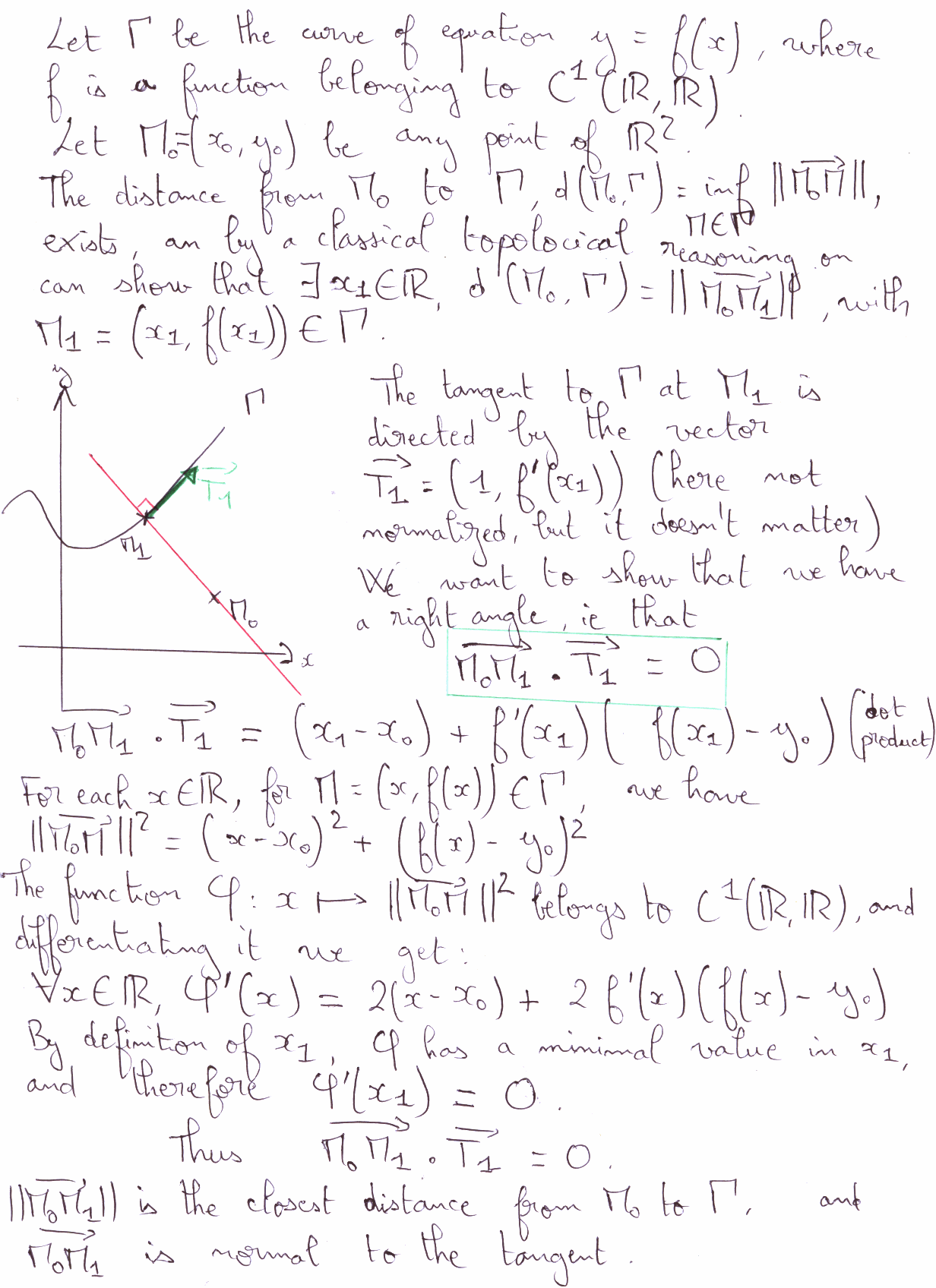
Name Size Type
proof.png 190,966 image/x-png